
Как люди на самом деле используют ChatGPT
Исследование об использовании ChatGPT от 15 сентября 2025 года: как люди применяют ИИ в работе и жизни.
Как люди используют ChatGPT
Аарон Чаттерджи, Том Каннингем, Дэвид Деминг,
Зои Хитциг, Кристофер Онь, Карл Шан,
Кевин Уэдман, OpenAI, Университет Дьюка,
Гарвардский университет
15 сентября 2025 г.
Аннотация
Несмотря на быстрое внедрение чат-ботов на основе больших языковых моделей (LLM), о том, как именно они используются, известно мало. Мы документируем рост потребительского продукта ChatGPT с момента его запуска в ноябре 2022 года по июль 2025 года, когда им воспользовались около 10% взрослого населения мира.
Ранние пользователи были преимущественно мужчинами, но этот гендерный разрыв резко сократился, и мы наблюдаем более высокие темпы роста в странах с низким уровнем дохода.
Используя конвейер автоматической классификации, сохраняющий конфиденциальность, мы классифицируем модели использования в репрезентативной выборке диалогов ChatGPT.
Мы обнаруживаем устойчивый рост сообщений, связанных с работой, но еще более быстрый рост сообщений, не связанных с работой, доля которых увеличилась с 53% до более чем 70% от всего объема использования. Использование в рабочих целях чаще встречается у образованных пользователей, занятых на высокооплачиваемых профессиональных должностях.
Мы классифицируем сообщения по темам диалогов и обнаруживаем, что три самые распространенные темы — «Практические рекомендации», «Поиск информации» и «Письмо» — вместе составляют почти 80% всех диалогов.
Письмо доминирует в рабочих задачах, что подчеркивает уникальную способность чат-ботов генерировать цифровой контент по сравнению с традиционными поисковыми системами.
Компьютерное программирование и самовыражение составляют относительно небольшую долю использования. В целом, мы обнаруживаем, что ChatGPT создает экономическую ценность за счет поддержки принятия решений, что особенно важно в профессиях, требующих глубоких знаний.
*Мы благодарим за помощь и комментарии Джошуа Ачиама, Хеманта Асирватама, Райана Бейермейстера, Рейчел Браун, Кассандру Дучан Солис, Джейсона Квона, Эллиотта Мокски, Кевина Рао, Харрисона Сатчера, Гавешу Виератунгу, Ханну Вонг и команду Analytics & Insights. Особая благодарность Тайне Элуанду и Памеле Мишкин, которые в нескольких аспектах заложили основу для этой работы. Исследование было одобрено Гарвардским IRB (IRB25-0983).
1. Введение
ChatGPT был запущен в ноябре 2022 года. К июлю 2025 года 18 миллиардов сообщений еженедельно отправлялись 700 миллионами пользователей, что составляет около 10% взрослого населения планеты. Для новой технологии такая скорость глобального распространения беспрецедентна (Bick et al., 2024).
В данной статье изучается использование потребителями ChatGPT — первого массового чат-бота и, вероятно, самого крупного.² ChatGPT основан на большой языковой модели (LLM) — типе искусственного интеллекта (ИИ), разрабатываемого в течение последнего десятилетия и общепризнанного как ускорение возможностей ИИ.³
Внезапный рост возможностей и внедрения LLM усилил интерес к влиянию искусственного интеллекта на экономический рост (Acemoglu, 2024; Korinek and Suh, 2024); занятость (Eloundou et al., 2025); и общество (Kulveit et al., 2025). Однако, несмотря на быстрое внедрение LLM, существует ограниченная публичная информация об их использовании. Ряд опросов измерили самоотчетное внедрение LLM (Bick et al., 2024; Pew Research Center, 2025); однако есть основания ожидать предвзятости в самоотчетах (Ling and Imas, 2025), и ни одна из этих работ не смогла напрямую отследить количество или характер диалогов с чат-ботами.
Две недавние работы действительно сообщают статистику по диалогам с чат-ботами, классифицированным различными способами (Handa et al., 2025; Tomlinson et al., 2025). Мы развиваем эту работу в нескольких аспектах. Во-первых, пул пользователей ChatGPT намного больше, что означает, что наши данные, вероятно, являются более точным приближением к среднему пользователю чат-бота. Во-вторых, мы используем автоматические классификаторы для отчета о типах сообщений, используя новые классификационные таксономии по сравнению с существующей литературой. В-третьих, мы сообщаем о распространении использования чат-ботов среди различных групп населения и росте различных типов использования внутри когорт. В-четвертых, мы используем протокол безопасной "чистой комнаты данных" для анализа агрегированных категорий занятости и образования для выборки наших пользователей, что дает новые сведения о различиях в типах сообщений, отправляемых разными группами, при защите конфиденциальности пользователей.
Наша основная выборка — это случайная выборка сообщений, отправленных в ChatGPT по потребительским тарифам (Бесплатный, Плюс, Про) в период с мая 2024 года по июнь 2025 года.
Сообщения от пользователя чат-боту классифицируются автоматически с использованием ряда различных таксономий: связано ли сообщение с оплачиваемой работой, тема диалога, тип взаимодействия (спрашиваю, делаю или выражаю) и задача O*NET, которую выполняет пользователь. Каждая таксономия определяется в промпте, передаваемом LLM, что позволяет нам классифицировать сообщения без того, чтобы кто-либо из людей их видел. Текст большинства промптов приведен в Приложении A вместе с подробностями о том, как промпты были проверены в Приложении B.

Конвейер классификации защищен серией мер конфиденциальности, подробно описанных ниже, для обеспечения отсутствия утечки конфиденциальной информации во время автоматического анализа. В безопасной "чистой комнате данных" мы связываем таксономии сообщений с агрегированными категориями занятости и образования.
Таблица 1 показывает рост общего объема сообщений для рабочего и нерабочего использования. Оба типа сообщений непрерывно росли, но нерабочие сообщения росли быстрее и теперь составляют более 70% всех потребительских сообщений ChatGPT.
Хотя большая часть экономического анализа ИИ сосредоточена на его влиянии на производительность в оплачиваемой работе, влияние на деятельность вне работы (домашнее производство) имеет сопоставимый масштаб и, возможно, даже больше.
Снижение доли рабочих сообщений в первую очередь связано с изменением использования внутри каждой когорты пользователей, а не с изменением состава новых пользователей ChatGPT. Это открытие согласуется с Collis and Brynjolfsson (2025), которые с помощью экспериментов по выбору выявили готовность платить за генеративный ИИ и оценили потребительский излишек как минимум в 97 миллиардов долларов только в 2024 году в США.
Далее мы сообщаем о классификации сообщений с использованием таксономии, разработанной в OpenAI для понимания использования продукта («классификатор диалогов»).
Почти 80% всего использования ChatGPT попадает в три широкие категории, которые мы называем Практические рекомендации, Поиск информации и Письмо.
Практические рекомендации — это наиболее распространенный вариант использования и включают такие виды деятельности, как обучение и преподавание, советы «как сделать» по различным темам и творческая генерация идей.⁷ Поиск информации включает поиск информации о людях, текущих событиях, продуктах и рецептах и, по-видимому, является очень близкой заменой веб-поиску. Письмо включает автоматическое создание электронных писем, документов и других сообщений, а также редактирование, критику, суммирование и перевод текста, предоставленного пользователем.
Письмо — это наиболее распространенный вариант использования на работе, на его долю в среднем в июне 2025 года приходилось 40% рабочих сообщений. Примерно две трети всех сообщений о письме просят ChatGPT изменить текст пользователя (редактирование, критика, перевод и т.д.), а не создавать новый текст с нуля. Около 10% всех сообщений — это просьбы о репетиторстве или обучении, что говорит о том, что образование является ключевым вариантом использования ChatGPT.
Два наших вывода противоречат другим работам. Во-первых, мы обнаруживаем, что доля сообщений, связанных с компьютерным программированием, относительно мала: только 4,2% сообщений ChatGPT связаны с компьютерным программированием, по сравнению с 33% рабочих диалогов Claude (Handa et al., 2025). Во-вторых, мы обнаруживаем, что доля сообщений, связанных с товариществом или социально-эмоциональными проблемами, довольно мала: только 1,9% сообщений ChatGPT относятся к теме «Отношения и личные размышления», а 0,4% — к «Играм и ролевым играм». Напротив, Zao-Sanders (2025) оценивает, что терапия/товарищество является наиболее распространенным вариантом использования генеративного ИИ.
Мы также документируем несколько важных фактов о демографических различиях в использовании ChatGPT. Во-первых, мы показываем свидетельства того, что гендерный разрыв в использовании ChatGPT, вероятно, значительно сократился со временем и, возможно, полностью исчез. В первые несколько месяцев после выпуска ChatGPT около 80% активных пользователей имели, как правило, мужские имена. Однако это число снизилось до 48% по состоянию на июнь 2025 года, при этом активные пользователи с несколько большей вероятностью имели, как правило, женские имена. Во-вторых, мы обнаруживаем, что почти половина всех сообщений, отправленных взрослыми, была отправлена пользователями в возрасте до 26 лет, хотя возрастной разрыв несколько сократился в последние месяцы. В-третьих, мы обнаруживаем, что использование ChatGPT росло относительно быстрее в странах с низким и средним уровнем дохода за последний год. В-четвертых, мы обнаруживаем, что образованные пользователи и пользователи, занятые на высокооплачиваемых профессиональных должностях, значительно чаще используют ChatGPT для работы.
Мы вводим новую таксономию для классификации сообщений в соответствии с типом результата, который ищет пользователь, используя простую рубрику, которую мы называем Спрашивание, Действие или Выражение.
Спрашивание — это когда пользователь ищет информацию или разъяснения, чтобы принять решение, что соответствует моделям решения проблем в сфере знаний (например, Garicano (2000); Garicano and Rossi-Hansberg (2006); Carnehl and Schneider (2025); Ide and Talamas (2025)).
Действие — это когда пользователь хочет создать какой-либо результат или выполнить конкретную задачу, что соответствует классическим моделям работы, основанным на задачах (например, Autor et al. (2003)).
Выражение — это когда пользователь выражает свои взгляды или чувства, но не ищет никакой информации или действия.
Мы оцениваем, что около 49% сообщений — это Спрашивание, 40% — Действие и 11% — Выражение.
Однако по состоянию на июль 2025 года около 56% рабочих сообщений классифицируются как Действие (например, выполнение рабочих задач), и почти три четверти из них — это задачи Письма.
Относительная частота диалогов, связанных с письмом, примечательна по двум причинам. Во-первых, письмо — это задача, общая для почти всех офисных работ, и хорошие навыки письменного общения находятся среди главных «мягких» навыков, востребованных работодателями (Национальная ассоциация колледжей и работодателей, 2024). Во-вторых, одна из отличительных черт генеративного ИИ по сравнению с другими информационными технологиями — это его способность создавать длинные тексты, такие как письменные работы и программный код.
Мы также сопоставляем содержание сообщений с видами деятельности на рабочем месте, используя Сеть профессиональной информации (O*NET) — обследование характеристик работы, поддерживаемое Министерством труда США.
Мы обнаруживаем, что около 58% рабочих сообщений связаны с двумя широкими видами деятельности: 1) получение, документирование и интерпретация информации; и 2) принятие решений, предоставление советов, решение проблем и творческое мышление. Кроме того, мы обнаруживаем, что виды деятельности на рабочем месте, связанные с использованием ChatGPT, очень похожи в самых разных профессиях. Например, виды деятельности «Получение информации» и «Принятие решений и решение проблем» входят в пятерку самых частых по частоте сообщений почти во всех профессиях — от менеджмента и бизнеса до STEM, административных и торговых профессий.
В целом, мы обнаруживаем, что поиск информации и поддержка принятия решений являются наиболее распространенными вариантами использования ChatGPT в большинстве профессий. Это согласуется с тем фактом, что почти половина всего использования ChatGPT — это либо Практические рекомендации, либо Поиск информации. Мы также показываем, что Спрашивание растет быстрее, чем Действие, и что сообщения Спрашивания последовательно оцениваются как имеющие более высокое качество как классификатором, измеряющим удовлетворенность пользователя, так и прямой обратной связью от пользователя.
Как ChatGPT создает экономическую ценность и для кого эта ценность наибольшая?
Мы утверждаем, что ChatGPT, вероятно, повышает производительность работников, обеспечивая поддержку принятия решений, что особенно важно в профессиях, требующих глубоких знаний, где повышение производительности зависит от качества принимаемых решений (Deming, 2021; Caplin et al., 2023). Это объясняет, почему Спрашивание относительно более распространено среди образованных пользователей, работающих на высокооплачиваемых профессиональных должностях. Наши выводы наиболее согласуются с Ide and Talamas (2025), которые разработали модель, в которой ИИ-агенты могут служить либо коллегами, производящими результат, либо «сопилотами», дающими советы и повышающими производительность человеческого решения проблем.
2. Что такое ChatGPT?
Здесь мы даем упрощенный обзор LLM и чат-ботов. Для получения более точных деталей обратитесь к статьям и карточкам систем, которые OpenAI выпустила с каждой моделью, например, (OpenAI, 2023, 2024a, 2025b).
Чат-бот — это статистическая модель, обученная генерировать текстовый ответ на некоторый текстовый ввод, чтобы максимизировать «качество» этого ответа, где качество измеряется с помощью различных метрик.
В типичном взаимодействии пользователь отправляет простое текстовое сообщение («промпт»), и ChatGPT возвращает сообщение («ответ»), сгенерированное базовой LLM. К ChatGPT было добавлено большое количество дополнительных функций — включая возможность для LLM искать в Интернете или внешних базах данных и генерировать изображения на основе текста — но обмен текстовыми сообщениями остается наиболее типичным взаимодействием.
С момента своего запуска ChatGPT использовал различные базовые LLM, например, GPT-3.5, GPT-4, GPT-4o, o1, o3 и GPT-5. Кроме того, время от времени происходят обновления весов модели и системного промпта модели (текстовые инструкции, отправляемые модели вместе со всеми запросами).
LLM можно рассматривать как функцию от строки слов к распределению вероятностей по множеству всех возможных слов (точнее, «токенов», которые очень приблизительно соответствуют словам).
Функции реализуются с помощью глубоких нейронных сетей, как правило, с архитектурой трансформера (Vaswani et al., 2017), параметризованных миллиардами «весов» модели. Мы будем называть все модели ChatGPT языковыми моделями, хотя большинство из них могут дополнительно обрабатывать токены, представляющие изображения, аудио или другие медиа.
Веса в чат-боте на основе LLM часто обучаются в два этапа, обычно называемых «предварительное обучение» и «пост-обучение». На первом этапе («предварительное обучение») LLM обучаются предсказывать следующее слово в строке, учитывая предыдущие слова, на огромном корпусе текста. На этом этапе модели являются чистыми предикторами вероятности следующего слова, учитывая предыдущий контекст, и, таким образом, имеют относительно узкое применение. На втором этапе («пост-обучение») модели обучаются производить слова, которые составляют «хорошие» ответы на какой-либо промпт. Этот этап часто состоит из различных стратегий: тонкая настройка на наборе данных запросов и идеальных ответов, обучение с подкреплением против другой модели, которая обучена оценивать качество ответа (Ouyang et al., 2022), или обучение с подкреплением против функции, которая знает истинный ответ на запросы (OpenAI (2024b), Для хронологии запуска моделей см. Приложение C.
Токенизация — это способ разрезания строки текста на дискретные фрагменты, выбранные для статистической эффективности. Во многих схемах токенизации один токен соответствует примерно трем четвертям английского слова.
3. Данные и конфиденциальность
В этом разделе мы описываем данные, использованные в статье, и меры по защите конфиденциальности, которые мы внедрили. Ни один член исследовательской группы никогда не видел содержания пользовательских сообщений, и все анализы проводились в соответствии с Политикой конфиденциальности OpenAI (OpenAI, 2025c).
Анализ в этой статье основан на следующих наборах данных:
- Рост: общий ежедневный объем сообщений от потребительских пользователей ChatGPT с ноября 2022 года по сентябрь 2025 года, а также основная самоотчетная демографическая информация. Этот набор данных в основном используется в разделе 4.
- Классифицированные сообщения: сообщения, классифицированные по грубым категориям.
- Выборка из всех пользователей ChatGPT: случайная выборка примерно одного миллиона обезличенных сообщений от вошедших в систему потребительских пользователей ChatGPT с мая 2024 года по июнь 2025 года. Этот набор данных в основном используется в разделе 5.
- Выборка из подмножества пользователей ChatGPT: две случайные выборки сообщений, отправленных с мая 2024 года по июль 2025 года подмножеством потребительских пользователей ChatGPT (одна выборка на уровне диалога, одна выборка на уровне пользователя). Эти наборы данных в основном используются в разделе 6.
- Занятость: агрегированные категории занятости и образования на основе общедоступных данных для подмножества потребительских пользователей ChatGPT. Эти данные используются только в разделе 6.
Мы описываем содержание каждого набора данных, процедуры выборки, которые их создали, и меры по защите конфиденциальности, которые мы внедрили при их построении и использовании в анализе.
3.1 Набор данных о росте
Мы составили набор данных, охватывающий все использование потребительских тарифов ChatGPT (Бесплатный, Плюс, Про) с момента запуска ChatGPT в ноябре 2022 года. Мы исключаем пользователей на некоммерческих тарифах (Бизнес, ранее Команды, Предприятие, Образование).
Для каждого пользователя и дня этот набор данных сообщает общее количество сообщений, отправленных пользователем в этот день. Он также сообщает, для каждого сообщения, обезличенные метаданные пользователя, включая временные метки их первого взаимодействия с ChatGPT, страну, из которой зарегистрирована их учетная запись, их тарифный план на каждый день и их самоотчетный возраст (сообщается в грубых 5–7-летних интервалах для защиты конфиденциальности пользователя).
3.2 Классифицированные сообщения
Чтобы понять использование, сохранив конфиденциальность пользователя, мы создаем наборы данных на уровне сообщений без того, чтобы кто-либо когда-либо читал содержание сообщения. См. Рисунок 1 для обзора конвейера классификации, сохраняющего конфиденциальность.
Сообщения классифицируются в соответствии с 5 различными классификаторами на основе LLM. Классификаторы подробнее представлены в разделе 5, их точный текст воспроизведен в Приложении A, а процедура проверки описана в Приложении B.
Выборка из всех пользователей ChatGPT.
Мы равномерно отобрали примерно 1,1 миллиона диалогов, а затем отобрали одно сообщение в каждом диалоге со следующими ограничениями:
- Мы включаем только сообщения с мая 2024 года по июль 2025 года.
- Мы исключаем диалоги от пользователей, отказавшихся от совместного использования своих сообщений для обучения модели.
- Мы исключаем пользователей, которые самоотчетно указали возраст до 18 лет.
- Мы исключаем диалоги, которые пользователи удалили, и от пользователей, чьи учетные записи были деактивированы или заблокированы.
- Мы исключаем пользователей, не вошедших в систему, которые составляли меньшинство пользователей ChatGPT за период выборки.
Наша выборка взята из таблицы, которая сама по себе является выборкой, где частота выборки менялась со временем. Таким образом, мы корректируем наши веса выборки, чтобы поддерживать фиксированное соотношение с совокупными отправленными сообщениями.
Выборка из подмножества пользователей ChatGPT.
Мы создаем две выборки классифицированных сообщений от подмножества пользователей ChatGPT (примерно 130 000 пользователей). Эта выборка пользователей не включает пользователей, отказавшихся от совместного использования своих сообщений для обучения, а также пользователей, чей самоотчетный возраст ниже 18 лет, и пользователей, которые были заблокированы или удалили свои учетные записи.
Первая выборка содержит классификации 1,58 миллиона сообщений от этого подмножества пользователей, отобранных на уровне диалога (диалог — это серия сообщений между пользователем и чат-ботом). Эта выборка построена таким образом, что представительство пользователя в данных пропорционально общему объему сообщений. Вторая выборка содержит сообщения, отправленные этим подмножеством пользователей, отобранные на уровне пользователя с максимум шестью сообщениями от каждого пользователя в группе.
ChatGPT стал доступен пользователям, не вошедшим в систему, в апреле 2024 года, то есть пользователи могли использовать ChatGPT без регистрации учетной записи с адресом электронной почты. Однако сообщения от пользователей, не вошедших в систему, доступны в нашем наборе данных только с марта 2025 года, поэтому для согласованности мы удаляем все сообщения от пользователей, не вошедших в систему.
Конфиденциальность через автоматические классификаторы.
Никто не смотрел на содержание сообщений во время проведения анализа для этой статьи. Весь анализ содержания сообщений выполнялся через автоматические классификаторы на основе LLM, запущенные на обезличенных и очищенных от PII данных сообщений (см. Рисунок 1).
Рисунок 1

Сначала сообщения очищаются от PII с помощью внутреннего инструмента на основе LLM, а затем классифицируются в соответствии с классификаторами, определенными над контролируемым пространством меток — самым точным классификатором, который мы используем на наборе данных на уровне сообщений, является таксономия промежуточных видов деятельности O*NET, которую мы дополняем, чтобы в итоге получить 333 категории.
Мы вводим технические и процедурные препятствия, которые предотвращают случайный доступ к исходному тексту (например, интерфейсы, которые не отображают текст сообщений исследователям).
Наши классификации направлены на определение намерения данного сообщения, и поэтому мы включаем предыдущие 10 сообщений в диалоге в качестве контекста. Для примера см. Таблицу 2.

Внутренние анализы показывают, что инструмент, Privacy Filter, существенно согласуется с человеческим суждением. В случае качества взаимодействия мы дополнительно включаем следующие два сообщения в диалоге в качестве контекста.
Мы обрезаем каждое сообщение до максимум 5000 символов, потому что длинные контекстные окна могут вызвать изменчивость в качестве классификации (Liu et al., 2023). Мы классифицируем каждое сообщение с помощью модели «gpt-5-mini», за исключением качества взаимодействия, которое использует «gpt-5», используя промпты, перечисленные в Приложении A.
Мы проверили каждый из промптов классификации, сравнив решения модели по классификации с решениями, сделанными людьми, на выборке диалогов из общедоступного набора данных WildChat (Zhao et al., 2024) — набора диалогов с чат-ботом третьей стороны, которые пользователи добровольно согласились публично передать для исследовательских целей. Приложение B содержит подробную информацию о нашем подходе к проверке и производительности по сравнению с человеческим суждением. Для дополнительной прозрачности мы классифицируем выборку из 100 000 публичных сообщений WildChat и предоставляем эти данные в пакете для воспроизведения этой статьи.
3.3 Набор данных о занятости
Мы проводим ограниченный анализ агрегированных категорий занятости на основе общедоступных данных для выборки потребительских пользователей ChatGPT. Эта выборка включала примерно 130 000 пользователей Бесплатного, Плюс и Про тарифов, а категории занятости были агрегированы поставщиком, работающим через безопасную "чистую комнату данных" (DCR). Для этого анализа мы используем те же критерии исключения, что и для наборов данных на уровне сообщений: мы исключаем деактивированных пользователей, заблокированных пользователей, пользователей, отказавшихся от обучения, и пользователей, чей самоотчетный возраст ниже 18 лет. Поскольку данные были доступны только для подмножества пользователей, результаты могут не быть репрезентативными для всего пула пользователей.
Описание. Данные о занятости, которые агрегируются из общедоступных источников, включают отрасль, профессии, сгруппированные в категории O*NET, уровень старшинства, размер компании и информацию об образовании, ограниченную полученной степенью. Поставщик, работающий в рамках DCR, приобрел этот набор данных, ограничил нас запуском только агрегированных запросов к нему через DCR и удалил его по завершении исследования.
Конфиденциальность через "чистую комнату данных". Мы никогда напрямую не получали доступ к демографическим записям на уровне пользователя. Весь анализ демографических данных выполнялся исключительно в безопасной среде DCR, которая разрешает только предварительно одобренные агрегированные вычисления на независимо хранимых наборах данных; ни одна из сторон не может просматривать или экспортировать записи другой стороны. Мы регулировали DCR строгими протоколами: чтобы выполнить любой запрос, затрагивающий внешние демографические данные, мы сначала получали явное одобрение от комитета из 6 соавторов, а затем отправляли блокнот нашему партнеру по данным для одобрения; только одобренные блокноты могли запускаться в DCR (см. Рисунок 2).

Наш партнер обеспечивал строгие ограничения на агрегацию: они одобряли только код, который возвращал ячейки, отвечающие порогу в 100 пользователей. Следовательно, отдельные строки или узко определенные категории никогда не были видны исследователям. Например, если у 99 пользователей была профессия «анестезиолог», любой вывод на уровне профессии поместил бы этих пользователей в категорию «подавлено» или поместил бы эти наблюдения в более грубую категорию (например, «медицинские работники»), а не сообщал бы отдельную ячейку анестезиологов.
¹⁹Набор данных был собран от чат-бота третьей стороны с использованием LLM OpenAI через их API.
3.4 Подведение итогов нашего подхода к конфиденциальности
Мы приняли меры для защиты конфиденциальности пользователей на каждом этапе анализа. Вкратце, ключевые элементы нашего подхода:
Автоматическая классификация сообщений. В ходе анализа никто никогда напрямую не смотрел на содержание пользовательских сообщений: весь наш анализ содержания пользовательских сообщений выполняется через вывод автоматических классификаторов, запущенных на обезличенных и очищенных от PII данных использования.
Агрегированные демографические данные через "чистую комнату данных". Мы анализируем и сообщаем агрегированные демографические данные через безопасную среду "чистой комнаты данных": никто из исследовательской группы не имел прямого доступа к демографическим данным на уровне пользователя, и ни один из наших анализов не сообщает агрегаты для групп с менее чем 100 пользователями.
Следуя этим мерам, мы стремимся соответствовать или превосходить прецеденты защиты конфиденциальности, установленные другими социальными учеными, изучающими чат-ботов, и теми, кто связывает данные цифровых платформ с внешними источниками.
Мы следуем прецеденту, установленному в недавних анализах диалогов с чат-ботами (Phang et al. (2025), Eloundou et al. (2025), Handa et al. (2025), Tomlinson et al. (2025)), которые полагаются на автоматическую классификацию, а не на ручной осмотр необработанных расшифровок. В частности, исследование Phang et al. (2025) об аффективном использовании ChatGPT и исследование Eloundou et al. (2025) о справедливости от первого лица в чат-ботах анализируют содержание сообщений ChatGPT через автоматические классификаторы и подчеркивают классификацию на основе классификаторов как масштабируемый, сохраняющий конфиденциальность подход. Handa et al. (2025) из Anthropic использовали аналогичный подход: их методология Clio применяет автоматические классификаторы к большим коллекциям диалогов, классифицируя диалоги на тысячи тем, и в их приложении они описывают ручную проверку на выборочных диалогах (100 пользовательских диалогов, отмеченных для проверки, и 100 случайно выбранных калибровок). Как и Eloundou et al., мы проверяем наши классификаторы с использованием WildChat, общедоступного набора данных пользовательских диалогов.
Другие статьи анализировали цифровое поведение и демографические данные; мы упоминаем здесь несколько соответствующих прецедентов. Humlum and Vestergaard (2025b) и Humlum and Vestergaard (2025a), например, анализируют крупномасштабные опросы об использовании чат-ботов вместе с датскими административными данными рынка труда. Chetty et al. (2022) анализируют обезличенные графы дружбы Facebook и анонимизированные налоговые записи IRS, агрегированные на уровне почтового индекса.
4. Рост ChatGPT
ChatGPT был выпущен для публики 30 ноября 2022 года как «исследовательская версия», и к 5 декабря у него было более одного миллиона зарегистрированных пользователей. Рисунок 3 показывает рост общего числа еженедельных активных пользователей (WAU) на потребительских тарифах с течением времени. Через год после запуска у ChatGPT было более 100 миллионов вошедших в систему WAU, а через два года — почти 350 миллионов. К концу июля 2025 года у ChatGPT было более 700 миллионов WAU, что составляет почти 10% взрослого населения мира.

Рисунок 3: Еженедельные активные пользователи ChatGPT на потребительских тарифах (Бесплатный, Плюс, Про), показанные как снимки в момент времени каждые шесть месяцев, ноябрь 2022–сентябрь 2025.
Рисунок 4 показывает рост общего количества сообщений, отправляемых пользователями с течением времени. Сплошная линия показывает, что между июлем 2024 года и июлем 2025 года количество отправленных сообщений выросло более чем в 5 раз.
Рисунок 4 также показывает вклад отдельных когорт пользователей в совокупный объем сообщений:
- Желтая линия представляет первую когорту пользователей ChatGPT: их использование несколько снизилось в 2023 году, но снова начало расти в конце 2024 года и сейчас выше, чем когда-либо.
- Розовая линия представляет сообщения от пользователей, зарегистрировавшихся в третьем квартале 2023 года или ранее, и, следовательно, разница между желтой и розовой линиями представляет сообщения, отправленные пользователями, зарегистрировавшимися во втором и третьем кварталах 2023 года.

Наблюдался значительный рост объема сообщений как новыми когортами пользователей, так и ростом в существующих когортах.
Рисунок 5 нормализует каждую когорту, отображая ежедневные сообщения на одного еженедельного активного пользователя. Каждая линия представляет отдельную когорту (вместо совокупной когорты, как на Рисунке 4). На рисунке показано, что более ранние регистрации последовательно имели более высокое использование, но использование также последовательно росло в каждой когорте, что мы интерпретируем как результат (1) улучшения возможностей моделей и (2) пользователи медленно открывают для себя новые способы использования существующих возможностей.
Обратите внимание, что мы ожидаем, что наши подсчеты отдельных учетных записей несколько превышают количество отдельных людей, когда у одного человека есть две учетные записи (или, для пользователей, не вошедших в систему, один человек, использующий два устройства). Для вошедших в систему пользователей подсчет основан на отдельных учетных данных для входа (адресах электронной почты), и у одного человека может быть несколько учетных записей. Для пользователей, не вошедших в систему, подсчет основан на отдельных файлах cookie браузера; это привело бы к двойному подсчету людей, если кто-то возвращается к ChatGPT после очистки файлов cookie или если они получают доступ к ChatGPT с двух разных устройств в течение одной недели.
5. Как используется ChatGPT
Далее мы сообщаем о содержании диалогов ChatGPT, используя различные таксономии. Для каждой таксономии мы описываем «промпт», который определяет набор категорий, а затем применяем LLM для сопоставления каждого сообщения с категорией. Наши категории часто применяются к намерению пользователя, а не к тексту диалога, и поэтому мы никогда напрямую не наблюдаем истину. Тем не менее, результаты классификатора можно интерпретировать как наилучшие догадки, которые сделал бы человек: догадки от LLM сильно коррелируют с человеческими догадками из того же промпта, и мы получаем аналогичные качественные результаты, когда промпт включает третью категорию для «неопределенного».

5.1 Какая доля запросов ChatGPT связана с оплачиваемой работой?
Мы маркируем каждое пользовательское сообщение в нашем наборе данных на основе того, кажется ли оно связанным с работой, используя классификатор LLM. Критическая часть промпта выглядит следующим образом:²¹
Кажется ли, что последнее пользовательское сообщение этого диалога, скорее всего, связано с выполнением какой-либо работы/занятости? Ответьте одним из следующих вариантов: (1) вероятно, часть работы (например, «перепиши эту жалобу в отдел кадров») (0) вероятно, не часть работы (например, «уменьшает ли лед прыщи?»)
Таблица 1 показывает, что оба типа запросов быстро росли между июнем 2024 года и июнем 2025 года, однако сообщения, не связанные с работой, росли быстрее: 53% сообщений не были связаны с работой в июне 2024 года, что увеличилось до 73% к июню 2025 года.
Рисунок 6 строит долю нерабочих сообщений, разложенную по совокупным когортам регистрации. Последующие когорты имели более высокую долю нерабочих сообщений, но также в каждой когорте увеличивалось их нерабочее использование. Сравнивая долю среди всех пользователей (черная линия) с долей среди самой ранней когорты пользователей (желтая линия), мы видим, что они очень тесно связаны.

См. Приложение A для полного промпта, см. Приложение B для проверки.
5.2 Каковы темы диалогов ChatGPT?
Мы модифицируем классификатор, используемый внутренними исследовательскими командами в OpenAI, который определяет, какие возможности запрашивает пользователь у ChatGPT. Сам классификатор напрямую назначает запрос пользователя одной из 24 категорий. Мы агрегируем эти 24 категории в семь тематических группировок (полный промпт классификации диалогов приведен в Приложении A):
Тема / Категория диалога
Письмо
- Редактирование или критика предоставленного текста
- Личное письмо или общение
- Перевод
- Генерация аргументов или резюме
- Написание художественной литературы
Практические рекомендации
- Советы «как сделать»
- Репетиторство или обучение
- Творческая генерация идей
- Здоровье, фитнес, красота или уход за собой
Техническая помощь
- Математические расчеты
- Анализ данных
Письмо
- Компьютерное программирование
Мультимедиа
- Создание изображения
- Анализ изображения
- Генерация или получение других медиа
Поиск информации
- Конкретная информация
- Покупаемые продукты
- Кулинария и рецепты
Самовыражение
- Приветствия и светская беседа
- Отношения и личные размышления
- Игры и ролевые игры
Другое/Неизвестно
- Запросы о модели
- Другое
- Неясно
Таблица 3: Грубые темы диалогов и базовые категории классификатора
Рисунок 7 показывает состав пользовательских сообщений с течением времени. Три самые распространенные темы диалогов — Практические рекомендации, Поиск информации и Письмо — вместе составляют около 77% всех диалогов ChatGPT. Практические рекомендации оставались постоянными на уровне примерно 29% всего использования. Письмо снизилось с 36% всего использования в июле 2024 года до 24% год спустя. Поиск информации вырос с 14% до 24% всего использования за тот же период. Доля технической помощи снизилась с 12% всего использования в июле 2024 года до примерно 5% год спустя — это может быть связано с тем, что использование LLM для программирования очень быстро росло через API (вне ChatGPT), для помощи ИИ в редактировании кода и для автономных программных агентов (например, Codex). Мультимедиа выросло с 2% до чуть более 7%, с большим скачком в апреле 2025 года после того, как ChatGPT выпустил новые возможности генерации изображений: скачок ослаб, но повышенный уровень сохранился.


Рисунок 8 показывает темы диалогов, ограничивая выборку только рабочими сообщениями. Около 40% всех рабочих сообщений в июле 2025 года — это Письмо, безусловно, самая распространенная тема диалога. Практические рекомендации — второй по распространенности вариант использования на уровне 24%. Техническая помощь снизилась с 18% всех рабочих сообщений в июле 2024 года до чуть более 10% в июле 2025 года.

Рисунок 9 разбивает четыре из семи тем диалогов на более мелкие группы и суммирует сообщения каждого типа за годовой период. Например, пять подкатегорий
- в Письме — это (в порядке частоты) Редактирование или критика предоставленного текста, Личное письмо или общение, Перевод, Генерация аргументов или резюме и Написание художественной литературы. Три из этих пяти категорий (Редактирование или критика предоставленного текста, Перевод и Генерация аргументов или резюме) — это запросы на изменение текста, предоставленного ChatGPT пользователем, тогда как два других — это запросы на создание нового текста. Первые составляют две трети всех диалогов о Письме, что говорит о том, что большинство пользовательских диалогов о Письме с ChatGPT — это запросы на изменение пользовательского ввода, а не на создание чего-то нового.
- Образование — это важный вариант использования ChatGPT. 10,2% всех пользовательских сообщений и 36% сообщений о Практических рекомендациях — это запросы на репетиторство или обучение.
- Еще одна большая доля — 8,5% в целом и 30% Практических рекомендаций — это общие советы «как сделать» по различным темам. Техническая помощь включает компьютерное программирование (4,2% сообщений), математические расчеты (3%) и анализ данных (0,4%). Глядя на тему Самовыражения, только 2,4% всех сообщений ChatGPT касаются Отношений и личных размышлений (1,9%) или Игр и ролевых игр (0,4%).
Хотя пользователи могут искать информацию и советы как в традиционных поисковых системах, так и в ChatGPT, способность создавать письменные работы, программный код, электронные таблицы и другие цифровые продукты отличает генеративный ИИ от существующих технологий. ChatGPT также более гибок, чем веб-поиск, даже для традиционных приложений, таких как Поиск информации и Практические рекомендации, потому что пользователи получают индивидуальные ответы (например, адаптированные планы тренировок, новые идеи продуктов, идеи для названий команд фэнтези-футбола), которые представляют собой вновь сгенерированный контент или новую модификацию предоставленного пользователем контента и последующие запросы.
5.3 Намерение пользователя
Существующие исследования экономического воздействия генеративного ИИ почти исключительно сосредоточены на потенциале ИИ выполнять рабочие задачи, либо дополняя, либо автоматизируя человеческий труд (например, Eloundou et al. (2025), Handa et al. (2025), Tomlinson et al. (2025)).
Однако генеративный ИИ — это очень гибкая технология, которую можно использовать многими различными способами. Чтобы узнать больше о том, как люди стремятся использовать генеративный ИИ на работе и вне работы, мы вводим классификатор, предназначенный для измерения типа результата, который пользователь надеется получить. В частности, мы классифицируем сообщения в соответствии с намерением пользователя, кодируя диалоги в соответствии с простой рубрикой Спрашивание, Действие или Выражение. Критическая часть нашего промпта классификации выглядит следующим образом:
Промпт намерения
Спрашивание
- Спрашивание — это поиск информации или совета, которые помогут пользователю быть лучше информированным или принимать лучшие решения, либо на работе, в школе, либо в личной жизни. (например, «Кто был президентом после Линкольна?», «Как мне составить бюджет на этот квартал?», «Каков был уровень инфляции в прошлом году?», «В чем разница между корреляцией и причинностью?», «На что мне следует обратить внимание при выборе медицинского плана во время открытой регистрации?»).*
Действие
- Сообщения Действия запрашивают, чтобы ChatGPT выполнял задачи для пользователя. Пользователь составляет электронное письмо, пишет код и т.д. Классифицируйте сообщения как «действие», если они включают запросы на вывод, который создается в основном моделью. (например, «Перепиши это электронное письмо, чтобы сделать его более формальным», «Составь отчет, суммирующий варианты использования ChatGPT», «Создай график проекта с вехами и рисками в таблице», «Извлеки компании, людей и даты из этого текста в CSV.», «Напиши Dockerfile и минимальный docker-compose.yml для этого приложения.»)*
Выражение
- Выражение утверждений — это ни запрос информации, ни запрос к чат-боту выполнить задачу.
Концептуально, диалоги Действия предоставляют результат, который можно включить в производственный процесс, в то время как диалоги Спрашивания поддерживают принятие решений, но не производят результат напрямую, а диалоги Выражения имеют мало или совсем не имеют экономического содержания.
Рисунок 10 показывает долю сообщений по каждому типу намерения в нашей выборке. 49% пользовательских сообщений — это Спрашивание, 40% — Действие и 11% — Выражение. На рисунке также показана связь с нашей классификацией Тем: две таксономии коррелированы, но не избыточны: запросы Спрашивания с большей вероятностью относятся к Практическим рекомендациям и Поиску информации. Запросы Действия непропорционально часто относятся к Письму и Мультимедиа. Запросы Выражения непропорционально часто относятся к Самовыражению.
Однако перекрытие несовершенно. Например, в теме Практические рекомендации сообщение Спрашивания может быть советом о том, как восстановиться после спортивной травмы с учетом личной истории пользователя, в то время как сообщение Действия может запросить у ChatGPT создать индивидуальный план восстановления и тренировок, который можно распечатать или сохранить. В Технической помощи сообщение Спрашивания может запросить помощь в понимании того, как отладить какой-либо код, в то время как сообщение Действия может попросить ChatGPT написать код для пользователя напрямую.
Рисунок 11 представляет доли Спрашивания/Действия/Выражения только для рабочих сообщений. Действие составляет почти 56% рабочих запросов, по сравнению с 35% для Спрашивания и 9% для Выражения. Почти 35% всех рабочих запросов — это сообщения Действия, связанные с Письмом. Действие и Спрашивание составляют равные доли запросов Технической помощи.

Рисунок 12 представляет изменения с течением времени в составе сообщений по намерению пользователя. В июле 2024 года использование было равномерно разделено между Спрашиванием и Действием, при этом чуть менее 8% сообщений классифицировались как Выражение. Спрашивание и Выражение росли гораздо быстрее, чем Действие, в течение следующего года, и к концу июня 2025 года соотношение было 51,6% Спрашивания, 34,6% Действия и 13,8% Выражения.

Рисунок 13 представляет долю рабочих сообщений по намерению пользователя. Сообщения Действия, которые составляют примерно 40% сообщений, имеют равное разделение сообщений между рабочими и нерабочими.
5.4 Виды деятельности O*NET
Мы сопоставляем содержание сообщений с видами деятельности на рабочем месте, используя Сеть профессиональной информации (O*NET) База данных версии 29.0, аналогично Tomlinson et al (2025). O*NET была разработана в партнерстве с Министерством труда США и систематически классифицирует профессии в соответствии с навыками, задачами и видами деятельности, необходимыми для их выполнения. O*NET связывает каждую профессию с набором задач, которые выполняются с разной степенью интенсивности. Каждая задача затем агрегируется до трех уровней детализации — 2087 подробных видов деятельности (DWA), 332 промежуточных вида деятельности (IWA) и 41 обобщенного вида деятельности (GWA).

Чтобы понять виды деятельности на рабочем месте, связанные с использованием ChatGPT, мы сопоставили сообщения с одним из 332 промежуточных видов деятельности O*NET (IWA), с дополнительным вариантом Неоднозначно, чтобы учесть ситуации, когда пользовательское сообщение не имело достаточного контекста. Затем мы использовали официальную таксономию O*NET для сопоставления этих классифицированных IWA с одним из обобщенных видов деятельности (GWA). Мы не показываем доли для следующих GWA, так как было менее 100 пользователей, отправляющих сообщения для каждой категории, и группируем их в Подавлено.


Рисунок 14 представляет долю сообщений, принадлежащих каждому GWA, в порядке убывания. Почти половина всех сообщений (45,2%) приходится всего на три GWA, связанных с использованием и манипулированием информацией: Получение информации (19,3%), Интерпретация значения информации для других (13,1%) и Документирование/запись информации (12,8%). Следующими наиболее распространенными видами деятельности являются Предоставление консультаций и советов (9,2%), Творческое мышление (9,1%), Принятие решений и решение проблем (8,5%) и Работа с компьютерами (4,9%). Эти семь GWA вместе составляют 76,9% всех сообщений.

Рисунок 15 представляет распределение GWA для подвыборки сообщений, которые мы классифицируем как рабочие. Среди рабочих сообщений наиболее распространенными GWA являются Документирование и запись информации (13,2%), Принятие решений и решение проблем (10,6%), Творческое мышление (9,3%), Работа с компьютерами (7,7%), Интерпретация значения информации для других (7,3%), Получение информации (6,7%) и Предоставление консультаций и советов другим (3,1%). Эти семь GWA вместе составляют 57,9% рабочих сообщений. В целом, большая часть использования ChatGPT на работе, по-видимому, сосредоточена на двух широких функциях: 1) получение, документирование и интерпретация информации; и 2) принятие решений, предоставление советов, решение проблем и творческое мышление.
5.5 Качество взаимодействий
Мы дополнительно использовали автоматические классификаторы для изучения очевидного удовлетворения пользователя ответом чат-бота на их запрос. Наш классификатор качества взаимодействия ищет выражение удовлетворения или неудовлетворения в последующем сообщении пользователя в том же диалоге (если оно существует), с тремя возможными категориями: Хорошо, Плохо и Неизвестно.

Рисунок 16 строит общий рост сообщений в этих трех барах. В конце 2024 года хорошие взаимодействия были примерно в три раза чаще, чем плохие, но хорошие взаимодействия росли гораздо быстрее в течение следующих девяти месяцев, и к июлю 2025 года они были более чем в четыре раза чаще.

Рисунок 17 показывает соотношение хороших и плохих сообщений по темам диалогов и типам взаимодействия, оцененным по качеству взаимодействия. Панель A показывает, что Самовыражение — это тема с наивысшим рейтингом, с соотношением хороших и плохих более семи, что согласуется с ростом этой категории. Мультимедиа и Техническая помощь имеют самые низкие соотношения хороших и плохих (1,7 и 2,7 соответственно). Панель B показывает, что сообщения Спрашивания значительно чаще получают хороший рейтинг, чем сообщения Действия или Выражения.
Для этого классификатора мы не раскрываем промпт.
6. Кто использует ChatGPT
В этом разделе мы сообщаем основные описательные факты о том, кто использует потребительский ChatGPT.
Существующие работы документируют различия в использовании генеративного ИИ по демографическим группам в репрезентативных выборках в США (Bick et al. (2024), Hartley et al. (2025)) и в подмножестве профессий в Дании (Humlum and Vestergaard, 2025a). Все эти работы обнаруживают, что генеративный ИИ используется чаще мужчинами, молодыми людьми и теми, кто имеет высшее и/или аспирантское образование.
Мы вносим три вклада по сравнению с этой предыдущей литературой. Во-первых, мы подтверждаем эти широкие демографические закономерности в глобальной выборке, а не в одной стране. Во-вторых, мы предоставляем более подробную информацию для отдельных демографических характеристик, таких как возраст, пол и страна происхождения, и изучаем, как разрывы в каждой из них менялись с течением времени. В-третьих, мы используем безопасную "чистую комнату данных" для анализа того, как использование ChatGPT варьируется в зависимости от образования и профессии.
6.1 Анализ имен
Мы исследуем потенциальные различия по полу, классифицируя глобальную случайную выборку из более чем 1,1 миллиона имен пользователей ChatGPT, используя общедоступные агрегированные наборы данных ассоциаций имени и пола. Мы использовали Всемирный словарь имен по полу, популярные имена социального обеспечения, а также наборы данных популярных бразильских и латиноамериканских имен.
Эта методология аналогична методологии в (Hofstra et al., 2020) и (West et al., 2013). Имена, которых не было в этих наборах данных, или которые были помечены как неоднозначные в наборах данных, или имели значительные разногласия среди этих наборов данных, были классифицированы как Неизвестно.
Исключая Неизвестно, значительная доля (около 80%) еженедельных активных пользователей (WAU) в первые несколько месяцев после выпуска ChatGPT были пользователями с, как правило, мужскими именами. Однако в первой половине 2025 года мы видим, что доля активных пользователей с, как правило, женскими и, как правило, мужскими именами достигла почти паритета. К июню 2025 года мы наблюдаем, что активные пользователи с большей вероятностью имеют, как правило, женские имена. Это говорит о том, что гендерные разрывы в использовании ChatGPT существенно сократились с течением времени.
Мы также изучаем различия в темах использования. Пользователи с, как правило, женскими именами относительно чаще отправляют сообщения, связанные с Письмом и Практическими рекомендациями. Напротив, пользователи с, как правило, мужскими именами чаще используют ChatGPT для Технической помощи, Поиска информации и Мультимедиа (например, модификации или создания изображений).
6.2 Вариация по возрасту
Подмножество пользователей самоотчетно указывает свой возраст при регистрации в OpenAI. Среди тех, кто самоотчетно указал свой возраст, около 46% сообщений в нашем наборе данных приходится на пользователей 18-25 лет.
Более высокая доля сообщений связана с работой для более пожилых пользователей. Рабочие сообщения составляли примерно 23% сообщений для пользователей моложе 26 лет, и эта доля увеличивалась с возрастом. Единственное исключение — пользователи, которые самоотчетно указали возраст 66 лет и старше, у которых только 16% их классифицированных сообщений были связаны с работой. На графике ниже показаны тенденции в доле рабочих сообщений по возрастным группам. Использование ChatGPT со временем становилось менее связанным с работой для пользователей всех возрастов.


6.3 Вариация по странам
Мы изучаем глобальные закономерности использования ChatGPT, измеряя долю еженедельных потребительских пользователей ChatGPT среди населения стран с доступом в Интернет с населением более одного миллиона человек. Мы также исключаем страны, в которых ChatGPT заблокирован. На рисунке ниже показана эта доля в мае 2024 года и мае 2025 года по децилям ВВП на душу населения: страны ранжируются по ВВП на душу населения и делятся на десять децилей, а ось X показывает медианное значение ВВП на душу населения в каждом дециле (в тысячах долларов США). Сплошная линия показывает медианную долю в каждом дециле; заштрихованная полоса — межквартильный диапазон (25-й–75-й процентиль) значений стран в этом дециле.
Сравнивая май 2024 года с маем 2025 года, мы видим, что внедрение ChatGPT резко выросло, но также наблюдался непропорциональный рост в странах с низким и средним уровнем дохода (10 000–40 000 долларов США ВВП на душу населения). В целом, мы обнаруживаем, что многие страны с низким и средним уровнем дохода испытали высокий рост внедрения ChatGPT.

6.4 Вариация по образованию
Далее мы анализируем результаты сопоставления с общедоступными наборами данных.
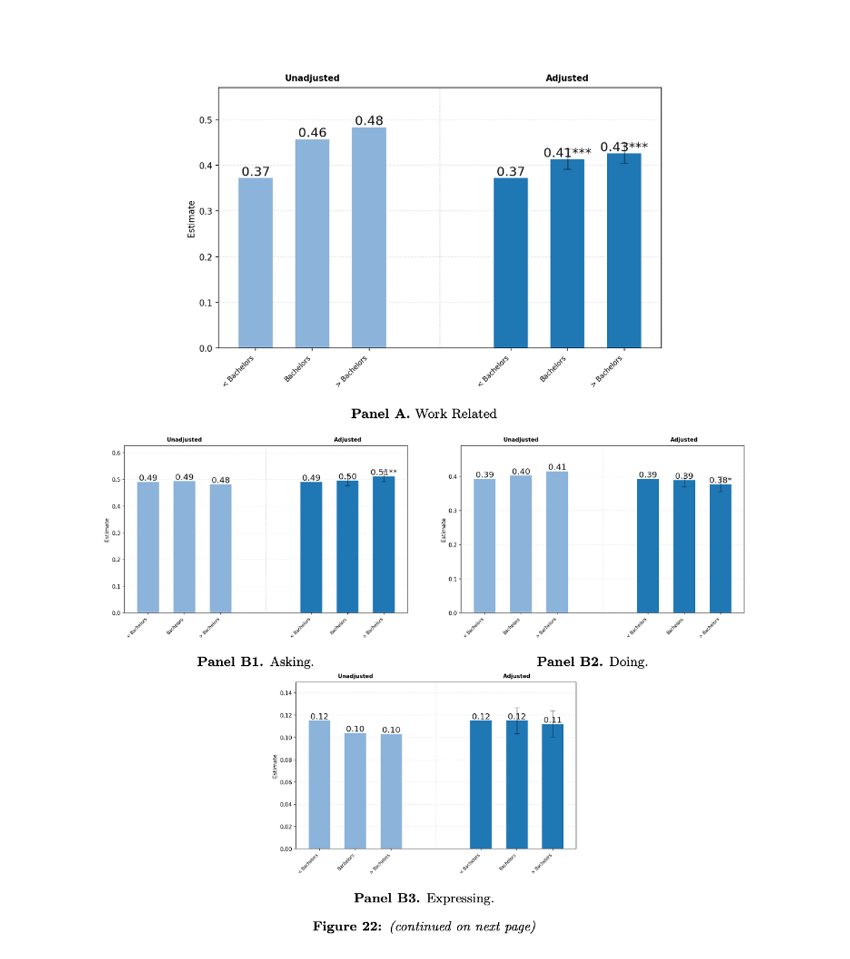
Рисунок 22 представляет вариацию в использовании ChatGPT в зависимости от образования пользователя. Панель A показывает долю сообщений, связанных с работой, для пользователей с образованием ниже бакалавриата, ровно бакалавриатом и некоторым аспирантским образованием соответственно.
Левая сторона рисунка 22 показывает нескорректированные сравнения, в то время как правая сторона представляет коэффициент по образованию из регрессии долей сообщений на возраст, является ли имя, как правило, мужским или женским, образование, категории профессий, старшинство на работе, размер компании и отрасль. Мы также включаем 95% доверительные интервалы для результатов, скорректированных с помощью регрессии.
Образованные пользователи с большей вероятностью используют ChatGPT для работы. 37% сообщений связаны с работой для пользователей с образованием ниже бакалавриата, по сравнению с 46% для пользователей с ровно бакалавриатом и 48% для тех, кто имеет некоторое аспирантское образование. Эти различия сокращаются примерно вдвое после корректировки на другие характеристики, но они все еще статистически значимы на уровне менее 1 процента. Образованные пользователи с большей вероятностью отправляют рабочие сообщения.
Панель B исследует вариацию по образованию в намерении пользователя. Спрашивание составляет около 49% сообщений для пользователей с образованием ниже бакалавриата, с небольшой вариацией для более образованных пользователей. После регрессионной корректировки мы обнаруживаем, что пользователи с аспирантской степенью примерно на два процентных пункта чаще используют ChatGPT для сообщений Спрашивания, разница, которая статистически значима на уровне 5%. До регрессионной корректировки частота сообщений Действия увеличивалась в зависимости от образования. Однако эта закономерность меняется после корректировки на другие характеристики, такие как профессия. Пользователи с аспирантской степенью примерно на 1,6 процентных пункта реже отправляют сообщения Действия, чем пользователи с образованием ниже бакалавриата, и разница статистически значима на уровне 10%.
Панель C изучает вариацию по образованию в частоте четырех разных тем диалогов — Практические рекомендации, Поиск информации, Техническая помощь и Письмо. Мы находим лишь незначительные различия по образованию в большинстве из этих категорий. Единственное исключение — то, что доля сообщений, связанных с Письмом, увеличивается в зависимости от образования.


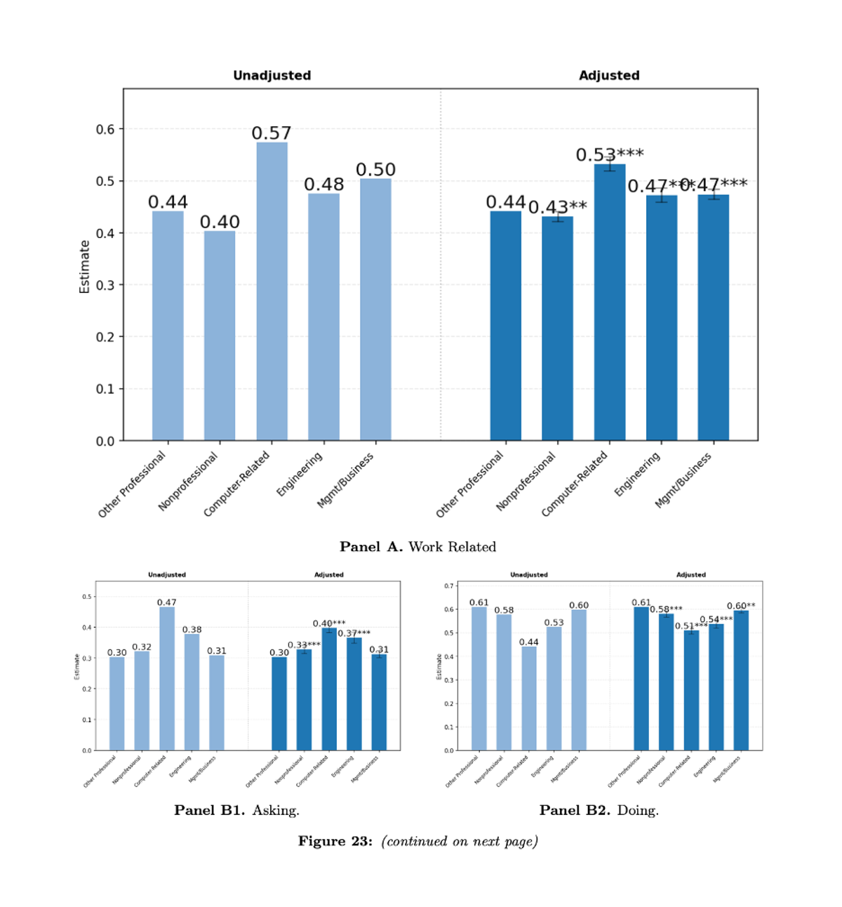
6.5 Вариация по профессии
Рисунок 23 представляет вариацию в использовании ChatGPT в зависимости от профессии пользователя. Из-за ограничений агрегации, сохраняющих конфиденциальность, мы сообщаем результаты для следующих широких категорий профессий — (1) все непрофессиональные профессии, включая административные, канцелярские, обслуживающие и рабочие профессии; (2) профессии, связанные с компьютерами; (3) инженерные и научные профессии; (4) управленческие и деловые профессии; и (5) все другие профессиональные профессии, включая право, образование и здравоохранение. Как и выше, левая сторона рисунка показывает нескорректированные сравнения, а правая сторона представляет коэффициенты по каждой категории профессии из регрессии долей сообщений на возраст, является ли имя, как правило, мужским или женским, образование, категории профессий, старшинство на работе, размер компании и отрасль.
Пользователи, занятые на высокооплачиваемых профессиональных и технических должностях, с большей вероятностью используют ChatGPT для работы. Панель A показывает, что нескорректированные доли работы составляют 57% для профессий, связанных с компьютерами; 50% для менеджмента и бизнеса; 48% для инженерии и науки; 44% для других профессиональных профессий; и только 40% для всех непрофессиональных профессий. Регрессионная корректировка немного изменяет эти цифры, но разрывы по профессиям остаются высоко статистически значимыми. Пользователи на высокооплачиваемых профессиональных должностях с большей вероятностью отправляют рабочие сообщения.
Поскольку использование на работе так сильно различается по профессиям, мы ограничиваем выборку только рабочими сообщениями в панелях B и C. Панель B представляет долю рабочих сообщений, которые являются сообщениями Спрашивания, по профессиям. Мы обнаруживаем, что пользователи на высокооплачиваемых профессиональных должностях с большей вероятностью используют ChatGPT для Спрашивания, а не для Действия. Это особенно верно в научных и технических профессиях. 47% рабочих сообщений, отправленных пользователями, занятыми в профессиях, связанных с компьютерами, — это сообщения Спрашивания, по сравнению с только 32% для непрофессиональных профессий. Эти различия несколько сокращаются с регрессионной корректировкой, но остаются высоко статистически значимыми.
Панель C представляет результаты по темам диалогов. Письмо особенно распространено для пользователей, занятых в управленческих и деловых профессиях, и составляет 52% всех рабочих сообщений. Письмо также относительно распространено в непрофессиональных и других профессиональных профессиях, таких как образование и здравоохранение, и составляет 50% и 49% рабочих сообщений соответственно. Техническая помощь составляет 37% всех рабочих сообщений для пользователей, занятых в профессиях, связанных с компьютерами, по сравнению с 16% в инженерии и науке и только около 8% для всех других категорий.
Регрессионная корректировка лишь незначительно влияет на разрывы по профессиям. В целом существуют резкие различия в распределении тем диалогов по профессиям пользователя, при этом рабочие сообщения явно сосредоточены на основных задачах в каждой работе (например, Письмо для менеджмента и бизнеса, Техническая помощь для технических профессий).
Мы также представляем данные о наиболее распространенных обобщенных видах деятельности (GWA), связанных с каждой широкой группой профессий, измеренных по 2-значным кодам Стандартной классификации профессий (SOC).
Таблица 24 представляет рейтинг частоты рабочих сообщений в каждом коде SOC из семи наиболее распространенных GWA.
Мы находим замечательное сходство в разных профессиях в том, как ChatGPT используется на работе. Например, Принятие решений и решение проблем — это один из двух наиболее распространенных GWA в каждой отдельной группе профессий, где можно сообщить хотя бы два GWA. Аналогично, Документирование и запись информации входит в первую четверку всех профессий. Творческое мышление занимает третье место по распространенности GWA в 10 из 13 групп профессий, где можно сообщить хотя бы три GWA. Несмотря на то, что существует 41 GWA, семь наиболее распространенных в целом также являются наиболее распространенными в каждой группе профессий и имеют схожий рейтинг.
Неудивительно, что Работа с компьютерами — это наиболее распространенный GWA в профессиях, связанных с компьютерами. В приложении мы сообщаем полное распределение классификаций GWA, пересеченных с 2-значными кодами SOC, а также наиболее часто запрашиваемые GWA из подмножества запросов, которые связаны с работой. Во всех профессиях использование ChatGPT в широком смысле сосредоточено на поиске информации и помощи в принятии решений.
²⁶Менеджмент и бизнес — это коды SOC2 11 и 13. Связанные с компьютерами — это код SOC2 15. Инженерия и наука — это коды SOC2 17 и 19. Другие профессиональные — это коды SOC2 21 до 29. Непрофессиональные профессии — это коды SOC 31 до 53. ²⁷Как обсуждается в разделе: Данные и конфиденциальность, наш набор данных включает только пользователей потребительских тарифов ChatGPT. Корпоративные пользователи также могут использовать ChatGPT Business (ранее известный как Teams) или ChatGPT Enterprise. ²⁸Очень мало рабочих сообщений классифицируются как Выражение. ²⁹Приложение D содержит полный отчет о подсчетах GWA, разбитых по профессиям, как для использования ChatGPT, связанного с работой, так и для всего использования ChatGPT. ³⁰Для юридических и служебных профессий мы можем сообщить только один из GWA из-за мер защиты конфиденциальности пользователей — ни один другой GWA не был запрошен более чем 100 пользователями в этой группе.



7. Заключение
В этой статье изучается быстрый рост ChatGPT, который был запущен в ноябре 2022 года. К июлю 2025 года ChatGPT еженедельно использовался более чем 700 миллионами пользователей, которые вместе отправляли более 2,5 миллиардов сообщений в день, или около 29 000 сообщений в секунду. Однако, несмотря на быстрое внедрение ChatGPT и генеративного ИИ в целом, ранее существовало мало доказательств того, как используется эта новая технология и кто ее использует.
Это первая экономическая статья, использующая внутренние данные сообщений ChatGPT, и мы делаем это, внедряя новую методологию, сохраняющую конфиденциальность. Ни одно пользовательское сообщение не наблюдалось людьми на любом этапе работы над этой статьей.
В этой статье документируются восемь важных фактов о ChatGPT. Во-первых, по состоянию на июль 2025 года около 70% потребительских запросов ChatGPT не были связаны с работой; хотя как рабочие, так и нерабочие запросы увеличивались, нерабочие запросы увеличивались быстрее.
Во-вторых, три самые распространенные темы диалогов ChatGPT — это Практические рекомендации, Письмо и Поиск информации, вместе составляющие почти 78% всех сообщений. Компьютерное программирование и Отношения и личные размышления составляют только 4,2% и 1,9% сообщений соответственно.
В-третьих, Письмо — это безусловно наиболее распространенное использование на работе, составляющее 42% всех рабочих сообщений в целом и более половины всех сообщений для пользователей в управленческих и деловых профессиях. Около двух третей сообщений о Письме — это запросы на изменение пользовательского текста, а не на создание нового текста с нуля.
В-четвертых, мы классифицируем сообщения в соответствии с типом результата, который ищут пользователи, с помощью рубрики, которую мы называем Спрашивание, Действие или Выражение. Около 49% сообщений — это пользователи, спрашивающие ChatGPT о руководстве, совете или информации (Спрашивание), 40% — это запросы на выполнение задач, которые можно включить в процесс (Действие), и 1% — это сообщения, у которых нет четкого намерения (Выражение). Сообщения Спрашивания росли быстрее, чем сообщения Действия, за последний год и оцениваются как более высокое качество как с помощью классификатора, измеряющего удовлетворенность пользователя, так и с помощью прямой обратной связи от пользователя.
В-пятых, гендерные разрывы в использовании ChatGPT, вероятно, существенно сократились с течением времени. По состоянию на июль 2025 года более половины еженедельных активных пользователей имели, как правило, женские имена. В-шестых, почти половина всех сообщений, отправленных взрослыми, была от пользователей в возрасте до 26 лет. В-седьмых, использование ChatGPT особенно быстро росло за последний год в странах с низким и средним уровнем дохода. В-восьмых, мы обнаруживаем, что пользователи с высоким уровнем образования и работающие на профессиональных должностях с большей вероятностью используют ChatGPT для рабочих сообщений и для сообщений Спрашивания, а не Действия на работе.
В целом, наши выводы говорят о том, что ChatGPT оказывает широкое влияние на мировую экономику. Тот факт, что нерабочее использование растет быстрее, говорит о том, что выгоды от использования генеративного ИИ могут быть значительными. Collis and Brynjolfsson (2025) оценивают, что пользователям США пришлось бы заплатить 98 долларов, чтобы отказаться от использования генеративного ИИ на месяц, что подразумевает излишек как минимум в 97 миллиардов долларов в год. В рамках рабочего использования мы обнаруживаем, что пользователи в настоящее время, по-видимому, получают ценность от использования ChatGPT в качестве советника или исследовательского помощника, а не только технологии, которая напрямую выполняет рабочие задачи. Тем не менее, ChatGPT, вероятно, повышает производительность работников, обеспечивая поддержку принятия решений, что особенно важно в профессиях, требующих глубоких знаний, где производительность увеличивается в зависимости от качества принимаемых решений.